Home Browse Text SearchFunctional Group SearchStructure SearchPreferences Administration

selected data collection: 1

IRIS SDF: browse content


1
  <<    <    >    >>  

1:403819 C14H18INO4
hit structure
1:403820 C14H18BrNO4
hit structure
1:403821 C14H18FNO4
hit structure
1:403822 C15H21NO4
hit structure
1:403823 C14H20N2O4
hit structure
1:403824 C29H30N2O6
hit structure
1:403825 C14H18N2O6
hit structure
1:403826 C14H14F5NO4
hit structure
1:403827 C10H15NO4
hit structure
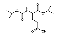
1:403828 C16H23NO5
hit structure
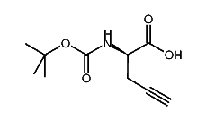
1:403829 C11H21NO4
hit structure
1:403830 C21H23Cl2NO5
hit structure
1:403831 C21H25NO5
hit structure
1:403832 C18H21NO4
hit structure
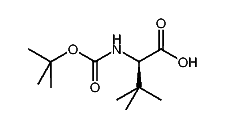
1:403833 C9H17NO4
hit structure
1:403834 C16H21NO4
hit structure
1:403835 C18H21NO4
hit structure
1:403836 C13H18N2O4
hit structure
1:403837 C21H34N4O7S
hit structure
1:403838 C16H21NO6
hit structure
1:403839 C21H23NO5
hit structure
1:403840 C14H25NO4
hit structure
1:403841 C13H23NO4
hit structure
1:403842 C14H25NO6
hit structure
1:403843 C18H23N3O4
hit structure

1
  <<    <    >    >>  

entries in data collection: 443586