Home Browse Text SearchFunctional Group SearchStructure SearchPreferences Administration

selected data collection: 1

IRIS SDF: browse content


1
  <<    <    >    >>  

1:403744 C18H28N2O6
hit structure
1:403745 C14H18N4O8
hit structure
1:403746 C16H22N2O6
hit structure
1:403747 C8H16N2O4
hit structure
1:403748 C23H26N2O6
hit structure
1:403749 C25H30N2O6
hit structure
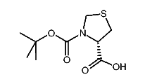
1:403750 C9H15NO4S
hit structure
1:403751 C17H20N2O4
hit structure
1:403752 C19H30N2O6
hit structure
1:403753 C15H20N4O8
hit structure
1:403754 C18H28N2O6
hit structure
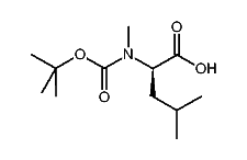
1:403755 C11H19NO4
hit structure
1:403756 C20H32N2O6
hit structure
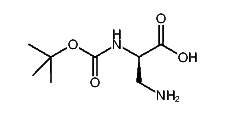
1:403757 C10H18N2O3
hit structure
1:403758 C15H21NO5
hit structure
1:403759 C11H19NO4
hit structure
1:403760 C13H17NO4
hit structure
1:403761 C25H32N4O7
hit structure
1:403762 C18H21NO4
hit structure
1:403763 C17H20N2O5
hit structure
1:403764 C18H23N3O6S
hit structure
1:403765 C14H18ClNO4
hit structure
1:403766 C12H23NO4
hit structure
1:403767 C20H30N2O6
hit structure
1:403768 C17H25NO5
hit structure

1
  <<    <    >    >>  

entries in data collection: 443586