Home Browse Text SearchFunctional Group SearchStructure SearchPreferences Administration

selected data collection: 1

IRIS SDF: browse content


1
  <<    <    >    >>  

1:402631 C16H22N2O7S2
hit structure
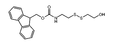
1:402632 C19H21NO3S2
hit structure
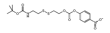
1:402633 C26H24N2O7S2
hit structure
1:402634 C19H14N2O5S2
hit structure
1:402635 C14H21NO3S2
hit structure
1:402636 C21H24N2O7S2
hit structure
1:402637 C24H23NO3S2
hit structure
1:402638 C9H11BrN2O5
hit structure
1:402639 C8H14N2O2S
hit structure
1:402640 C24H20N2O7S
hit structure
1:402641 C16H32ClN3O5
hit structure
1:402642 C9H9N3O2
hit structure
1:402643 C10H19NO5
hit structure
1:402644 C29H35ClN2O4
hit structure
1:402645 C10H22ClNO2
hit structure
1:402646 C14H30ClNO4
hit structure
1:402647 C10H20ClN3O2
hit structure
1:402648 C14H28ClN3O4
hit structure
1:402649 C16H26N2O2
hit structure
1:402650 C16H30N2O2
hit structure
1:402651 C18H34N2O2
hit structure
1:402652 C18H30N2O2
hit structure
1:402653 C29H31NO6
hit structure
1:402654 C30H29NO6
hit structure
1:402655 C28H29NO6
hit structure

1
  <<    <    >    >>  

entries in data collection: 408362