Home Browse Text SearchFunctional Group SearchStructure SearchPreferences Administration

selected data collection: 1

IRIS SDF: browse content


1
  <<    <    >    >>  

1:401968 C27H25NO4
hit structure
1:401969 C27H31NO4
hit structure
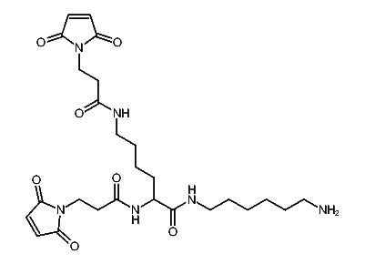
1:401970 C31H50N4O4
hit structure
1:401971 C25H47NO5
hit structure
1:401972 C8H14N2O2S2
hit structure
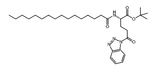
1:401973 C36H44N4O9S2
hit structure
1:401974 C29H53NO7
hit structure
1:401975 C33H56N2O9
hit structure
1:401976 C20H38O4
hit structure
1:401977 C44H46N2O4S
hit structure
1:401978 C304H612ClN201O50
hit structure
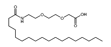
1:401979 C24H47NO5
hit structure
1:401980 C12H24N2O7
hit structure
1:401981 C15H31NO8
hit structure
1:401982 C19H39NO8
hit structure
1:401983 C8H19NO4
hit structure
1:401984 C16H33N3O7
hit structure
1:401985 C11H23NO4
hit structure
1:401986 C11H23NO6
hit structure
1:401987 C15H31NO6
hit structure
1:401988 C15H24N4O8
hit structure
1:401989 C21H39N5O7S
hit structure
1:401990 C14H26O9
hit structure
1:401991 C22H32N2O13
hit structure
1:401992 C26H38N6O7
hit structure

1
  <<    <    >    >>  

entries in data collection: 408362