Home Browse Text SearchFunctional Group SearchStructure SearchPreferences Administration

selected data collection: 1

IRIS SDF: browse content


1
  <<    <    >    >>  

1:401418 C9H19NO2
hit structure
1:401419 C7H15NO2
hit structure
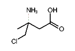
1:401420 C5H10ClNO2
hit structure
1:401421 C6H11NO2
hit structure
1:401422 C9H17NO2
hit structure
1:401423 C10H19NO2
hit structure
1:401424 C7H15NO2
hit structure
1:401425 C7H13NO2
hit structure
1:401426 C7H13NO3
hit structure
1:401427 C5H9NO2
hit structure
1:401428 C6H11NO2
hit structure
1:401429 C9H11NO2
hit structure
1:401430 C9H11NO2
hit structure
1:401431 C14H21N7O4
hit structure
1:401432 C26H28N4O2
hit structure
1:401433 C14H14N2O5
hit structure
1:401434 C10H16N4O4
hit structure
1:401435 C14H18N4O4
hit structure
1:401436 C9H14N4O4
hit structure
1:401437 C7H9NO3
hit structure
1:401438 C9H18N2O4
hit structure
1:401439 C9H14D4N2O4
hit structure
1:401440 C8H16N2O4
hit structure
1:401441 C8H12D4N2O4
hit structure
1:401442 C12H18N2O4
hit structure

1
  <<    <    >    >>  

entries in data collection: 403330