Home Browse Text SearchFunctional Group SearchStructure SearchPreferences Administration

selected data collection: 1

IRIS SDF: browse content


1
  <<    <    >    >>  

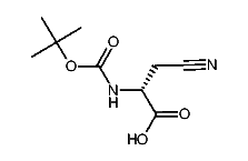
1:398968 C12H21NO4
hit structure
1:398969 C16H23NO4
hit structure
1:398970 C9H14F3NO4
hit structure
1:398971 C9H14F3NO4
hit structure
1:398972 C8H12F2KNO4
hit structure
1:398973 C11H16F3NO4
hit structure
1:398974 C10H16FNO4
hit structure
1:398975 C10H16FNO4
hit structure
1:398976 C10H15F2NO4
hit structure
1:398977 C26H30N2O6
hit structure
1:398978 C24H28N2O6
hit structure
1:398979 C15H21NO4
hit structure
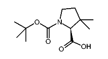
1:398980 C11H19NO4
hit structure
1:398981 C17H25NO5
hit structure
1:398982 C17H22N2O4
hit structure
1:398983 C22H27NO5
hit structure
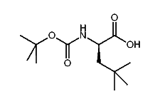
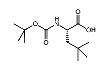
1:398984 C11H21NO4
hit structure
1:398985 C12H23NO4
hit structure
1:398986 C12H23NO4
hit structure
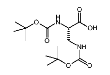
1:398987 C12H21NO4
hit structure
1:398988 C12H21NO4
hit structure
1:398989 C13H24N2O6
hit structure
1:398990 C17H24N2O5S
hit structure
1:398991 C9H14N2O4
hit structure
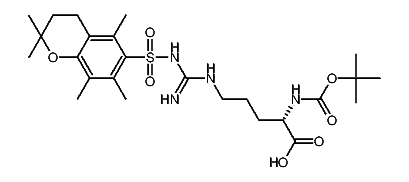
1:398992 C25H40N4O7S
hit structure

1
  <<    <    >    >>  

entries in data collection: 403330