Home Browse Text SearchFunctional Group SearchStructure SearchPreferences Administration

selected data collection: 1

IRIS SDF: browse content


1
  <<    <    >    >>  

1:398918 C13H24N2O5S2
hit structure
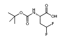
1:398919 C9H15F2NO4
hit structure
1:398920 C14H28N2O4
hit structure
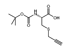
1:398921 C11H17NO4S
hit structure
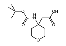
1:398922 C10H15NO5
hit structure
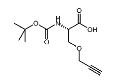
1:398923 C11H17NO5
hit structure
1:398924 C17H21NO5
hit structure
1:398925 C14H19NO4
hit structure
1:398926 C14H19NO4
hit structure
1:398927 C14H19NO4
hit structure
1:398928 C22H34N2O8
hit structure
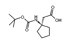
1:398929 C12H21NO4
hit structure
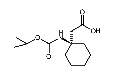
1:398930 C13H23NO4
hit structure
1:398931 C14H25NO4
hit structure
1:398932 C15H27NO4
hit structure
1:398933 C12H21NO5
hit structure
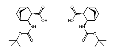
1:398934 C10H17NO4
hit structure
1:398935 C11H19NO4
hit structure
1:398936 C12H21NO4
hit structure
1:398937 C22H38N2O8
hit structure
1:398938 C26H42N2O8
hit structure
1:398939 C26H38N2O8
hit structure
1:398940 C28H50N2O8
hit structure
1:398941 C28H46N2O8
hit structure
1:398942 C24H42N2O8
hit structure

1
  <<    <    >    >>  

entries in data collection: 403330