Home Browse Text SearchFunctional Group SearchStructure SearchPreferences Administration

selected data collection: 1

IRIS SDF: browse content


1
  <<    <    >    >>  

1:397024 C18H29NO11
hit structure
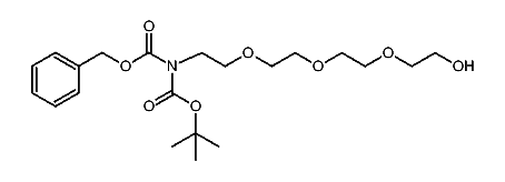
1:397025 C31H45N5O13
hit structure
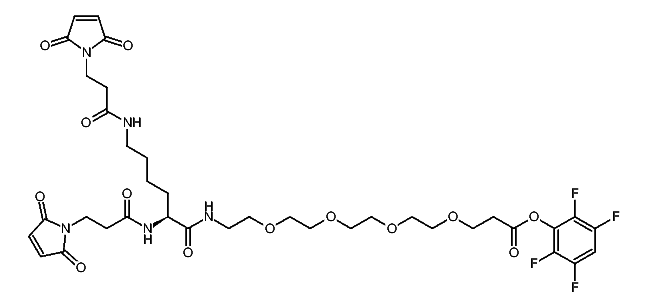
1:397026 C37H45F4N5O13
hit structure
1:397027 C18H34N4O6S
hit structure
1:397028 C14H26N4O6
hit structure
1:397029 C25H30N2O8
hit structure
1:397030 C25H44N4O8S
hit structure
1:397031 C10H18N4O5
hit structure
1:397032 C10H21N3O5
hit structure
1:397033 C10H22N4O4
hit structure
1:397034 C21H25NO5
hit structure
1:397035 C23H29NO6
hit structure
1:397036 C21H33NO8
hit structure
1:397037 C10H19N3O4
hit structure
1:397038 C8H15N3O5
hit structure
1:397039 C18H27NO9
hit structure
1:397040 C11H21NO4
hit structure
1:397041 C18H26N2O7
hit structure
1:397042 C12H25N3O6
hit structure
1:397043 C27H32O4S
hit structure
1:397044 C25H37N7O6S
hit structure
1:397045 C23H38N4O6S
hit structure
1:397046 C11H17NO5
hit structure
1:397047 C33H45N3O12
hit structure
1:397048 C13H28N2O5
hit structure

1
  <<    <    >    >>  

entries in data collection: 717910