Home Browse Text SearchFunctional Group SearchStructure SearchPreferences Administration

selected data collection: 1

IRIS SDF: browse content


1
  <<    <    >    >>  

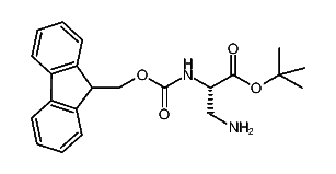
1:395024 C21H24N2O4
hit structure
1:395025 C21H22N4O4
hit structure
1:395026 C18H16N4O4
hit structure
1:395027 C23H27NO5
hit structure
1:395028 C21H22N4O4
hit structure
1:395029 C19H17NO5
hit structure
1:395030 C24H20N4O4
hit structure
1:395031 C24H20N4O4
hit structure
1:395032 C18H17NO7S
hit structure
1:395033 C25H29NO6
hit structure
1:395034 C26H23N3O7
hit structure
1:395035 C33H28N2O6
hit structure
1:395036 C22H21N3O4
hit structure
1:395037 C22H21N3O4
hit structure
1:395038 C25H23NO4
hit structure
1:395039 C27H22N2O5
hit structure
1:395040 C24H27NO6
hit structure
1:395041 C23H25NO6
hit structure
1:395042 C26H32N2O6
hit structure
1:395043 C22H24N2O5
hit structure
1:395044 C18H18N2O4
hit structure
1:395045 C19H18N4O4
hit structure
1:395046 C19H18N4O4
hit structure
1:395047 C22H26N2O4
hit structure
1:395048 C20H18N4O4
hit structure

1
  <<    <    >    >>  

entries in data collection: 751690