Home Browse Text SearchFunctional Group SearchStructure SearchPreferences Administration

selected data collection: 1

IRIS SDF: browse content


1
  <<    <    >    >>  

1:394015 C12H24N2O3
hit structure
1:394016 C25H32N2O4
hit structure
1:394017 C11H14N4O3
hit structure
1:394018 C14H19N5O4
hit structure
1:394019 C12H16N2O6S
hit structure
1:394020 C21H35NO3
hit structure
1:394021 C21H21N5O5
hit structure
1:394022 C8H15N5O3
hit structure
1:394023 C6H12N2O4Se2
hit structure
1:394024 C12H14N2O6Se
hit structure
1:394025 C14H19N5O4
hit structure
1:394026 C14H19N5O4
hit structure
1:394027 C25H32N2O4
hit structure
1:394028 C12H20N2O5
hit structure
1:394029 C11H18N2O3
hit structure
1:394030 C9H15N3O2
hit structure
1:394031 C26H26N2O4
hit structure
1:394032 C12H26N2O4Si
hit structure
1:394033 C10H12N2O4Se
hit structure
1:394034 C12H13N5O2
hit structure
1:394035 C11H14N2O4Se
hit structure
1:394036 C14H16N8O2
hit structure
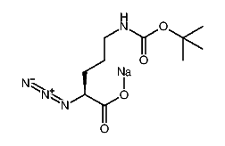
1:394037 C10H17N4NaO4
hit structure
1:394038 C12H13N5O2
hit structure
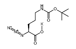
1:394039 C10H17KN4O4
hit structure

1
  <<    <    >    >>  

entries in data collection: 443586