Home Browse Text SearchFunctional Group SearchStructure SearchPreferences Administration

selected data collection: 1

IRIS SDF: browse content


1
  <<    <    >    >>  

1:393737 C12H15NO4
hit structure
1:393738 C13H17NO4
hit structure
1:393739 C13H23NO4
hit structure
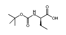
1:393740 C11H21NO4
hit structure
1:393741 C13H25NO4
hit structure
1:393742 C18H21NO4
hit structure
1:393743 C9H17NO4
hit structure
1:393744 C16H21NO4
hit structure
1:393745 C18H28N4O6S
hit structure
1:393746 C21H23NO5
hit structure
1:393747 C10H18N2O5
hit structure
1:393748 C17H23NO6
hit structure
1:393749 C19H28N2O6
hit structure
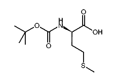
1:393750 C10H19NO4S
hit structure
1:393751 C14H18FNO4
hit structure
1:393752 C14H17Cl2NO4
hit structure
1:393753 C14H17F2NO4
hit structure
1:393754 C14H18FNO4
hit structure
1:393755 C14H18INO4
hit structure
1:393756 C14H18BrNO4
hit structure
1:393757 C14H18FNO4
hit structure
1:393758 C15H21NO4
hit structure
1:393759 C14H20N2O4
hit structure
1:393760 C29H30N2O6
hit structure
1:393761 C14H18N2O6
hit structure

1
  <<    <    >    >>  

entries in data collection: 438554