Home Browse Text SearchFunctional Group SearchStructure SearchPreferences Administration

selected data collection: 1

IRIS SDF: browse content


1
  <<    <    >    >>  

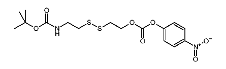
1:392567 C16H22N2O7S2
hit structure
1:392568 C19H21NO3S2
hit structure
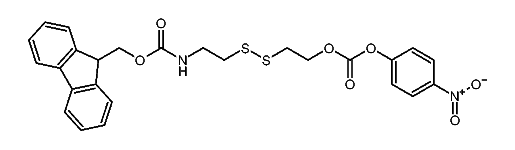
1:392569 C26H24N2O7S2
hit structure
1:392570 C19H14N2O5S2
hit structure
1:392571 C14H21NO3S2
hit structure
1:392572 C21H24N2O7S2
hit structure
1:392573 C24H23NO3S2
hit structure
1:392574 C9H11BrN2O5
hit structure
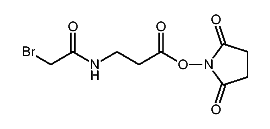
1:392575 C8H14N2O2S
hit structure
1:392576 C24H20N2O7S
hit structure
1:392577 C16H32ClN3O5
hit structure
1:392578 C9H9N3O2
hit structure
1:392579 C10H19NO5
hit structure
1:392580 C29H35ClN2O4
hit structure
1:392581 C10H22ClNO2
hit structure
1:392582 C14H30ClNO4
hit structure
1:392583 C10H20ClN3O2
hit structure
1:392584 C14H28ClN3O4
hit structure
1:392585 C16H26N2O2
hit structure
1:392586 C16H30N2O2
hit structure
1:392587 C18H34N2O2
hit structure
1:392588 C18H30N2O2
hit structure
1:392589 C29H31NO6
hit structure
1:392590 C30H29NO6
hit structure
1:392591 C28H29NO6
hit structure

1
  <<    <    >    >>  

entries in data collection: 403330