Home Browse Text SearchFunctional Group SearchStructure SearchPreferences Administration

selected data collection: 1

IRIS SDF: browse content


1
  <<    <    >    >>  

1:391340 C18H30N2O4
hit structure
1:391341 C8H15NO2
hit structure
1:391342 C7H13NO2
hit structure
1:391343 C12H18N2O4
hit structure
1:391344 C14H26N2O4
hit structure
1:391345 C16H30N2O4
hit structure
1:391346 C7H13NO2
hit structure
1:391347 C16H30N2O4
hit structure
1:391348 C14H22N2O4
hit structure
1:391349 C14H22N2O4
hit structure
1:391350 C18H30N2O4
hit structure
1:391351 C6H13NO2
hit structure
1:391352 C7H15NO2
hit structure
1:391353 C8H17NO2
hit structure
1:391354 C9H19NO2
hit structure
1:391355 C7H15NO2
hit structure
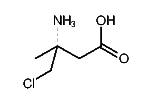
1:391356 C5H10ClNO2
hit structure
1:391357 C6H11NO2
hit structure
1:391358 C9H17NO2
hit structure
1:391359 C10H19NO2
hit structure
1:391360 C7H15NO2
hit structure
1:391361 C7H13NO2
hit structure
1:391362 C7H13NO3
hit structure
1:391363 C5H9NO2
hit structure
1:391364 C6H11NO2
hit structure

1
  <<    <    >    >>  

entries in data collection: 398298