Home Browse Text SearchFunctional Group SearchStructure SearchPreferences Administration

selected data collection: 1

IRIS SDF: browse content


1
  <<    <    >    >>  

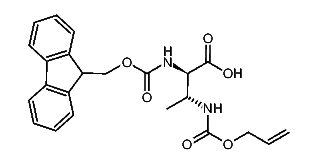
1:390062 C27H34N2O6
hit structure
1:390063 C35H42N4O7S
hit structure
1:390064 C20H18N4O4
hit structure
1:390065 C21H23NO4
hit structure
1:390066 C21H21NO4
hit structure
1:390067 C21H21NO4
hit structure
1:390068 C22H25NO4
hit structure
1:390069 C22H25NO4
hit structure
1:390070 C27H34N2O6
hit structure
1:390071 C27H34N2O6
hit structure
1:390072 C26H32N2O6
hit structure
1:390073 C26H32N2O6
hit structure
1:390074 C25H23NO4
hit structure
1:390075 C25H23NO4
hit structure
1:390076 C24H27NO6
hit structure
1:390077 C25H29NO6
hit structure
1:390078 C24H27NO6
hit structure
1:390079 C32H32N2O6
hit structure
1:390080 C21H23NO4
hit structure
1:390081 C23H24N2O6
hit structure
1:390082 C19H18N2O5
hit structure
1:390083 C19H18N2O5
hit structure
1:390084 C24H28N2O6
hit structure
1:390085 C24H28N2O6
hit structure
1:390086 C25H26N2O6
hit structure

1
  <<    <    >    >>  

entries in data collection: 403330