Home Browse Text SearchFunctional Group SearchStructure SearchPreferences Administration

selected data collection: 1

IRIS SDF: browse content


1
  <<    <    >    >>  

1:385838 C25H30N2O6
hit structure
1:385839 C21H23NO4S
hit structure
1:385840 C26H31NO6
hit structure
1:385841 C27H37NO5Si
hit structure
1:385842 C37H45N7O7S
hit structure
1:385843 C24H28N2O5
hit structure
1:385844 C22H24N4O4
hit structure
1:385845 C35H44N2O6
hit structure
1:385846 C25H28N2O5
hit structure
1:385847 C28H28N2O8S
hit structure
1:385848 C29H27N5O3S
hit structure
1:385849 C26H19N3O4S2
hit structure
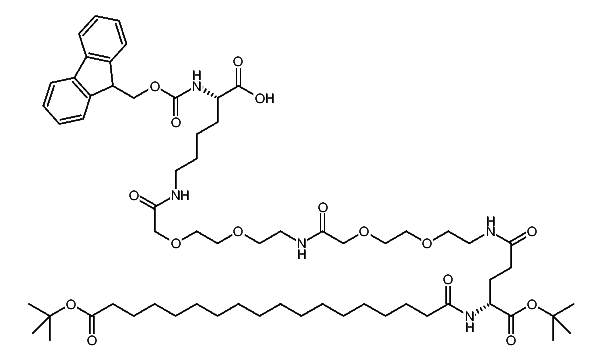
1:385850 C64H101N5O16
hit structure
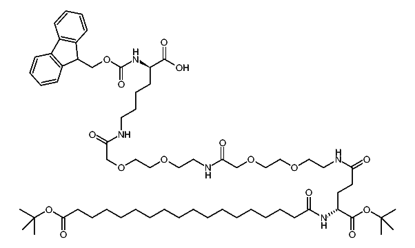
1:385851 C64H101N5O16
hit structure
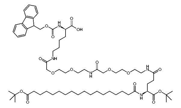
1:385852 C64H101N5O16
hit structure
1:385853 C22H21NO4S
hit structure
1:385854 C25H28N2O6
hit structure
1:385855 C24H24N2O6
hit structure
1:385856 C28H36N2O6
hit structure
1:385857 C39H34N2O5
hit structure
1:385858 C22H23NO4
hit structure
1:385859 C28H34N2O7
hit structure
1:385860 C29H36N2O7
hit structure
1:385861 C30H38N2O7
hit structure
1:385862 C23H28N2O5
hit structure

1
  <<    <    >    >>  

entries in data collection: 418426