Home Browse Text SearchFunctional Group SearchStructure SearchPreferences Administration

selected data collection: 1

IRIS SDF: browse content


1
  <<    <    >    >>  

1:383353 C26H29N7O8
hit structure
1:383354 C19H23N3O4
hit structure
1:383355 C26H26N4O8
hit structure
1:383356 C34H34N4O5
hit structure
1:383357 C41H37N5O9
hit structure
1:383358 C20H30ClN3O4
hit structure
1:383359 C30H32ClN3O4
hit structure
1:383360 C21H31ClN6O3
hit structure
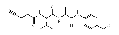
1:383361 C20H26ClN3O3
hit structure
1:383362 C25H33ClN4O5
hit structure
1:383363 C20H29ClN6O4
hit structure
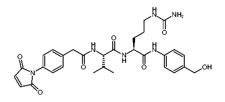
1:383364 C23H32ClN3O5
hit structure
1:383365 C27H30N4O6
hit structure
1:383366 C34H33N5O10
hit structure
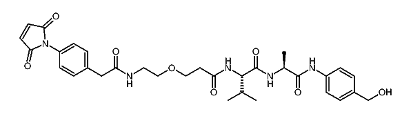
1:383367 C30H36N6O7
hit structure
1:383368 C37H39N7O11
hit structure
1:383369 C32H39N5O8
hit structure
1:383370 C39H42N6O12
hit structure
1:383371 C13H14O5
hit structure
1:383372 C20H17NO9
hit structure
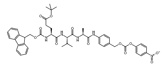
1:383373 C42H54N6O9
hit structure
1:383374 C49H57N7O13
hit structure
1:383375 C39H48N4O8
hit structure
1:383376 C46H51N5O12
hit structure
1:383377 C12H14N2O
hit structure

1
  <<    <    >    >>  

entries in data collection: 408362