Home Browse Text SearchFunctional Group SearchStructure SearchPreferences Administration

selected data collection: 1

IRIS SDF: browse content


1
  <<    <    >    >>  

1:382553 C31H40N8O9
hit structure
1:382554 C21H21N7O2S2
hit structure
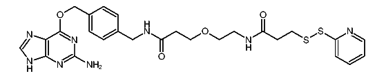
1:382555 C26H30N8O4S2
hit structure
1:382556 C34H31N7O3
hit structure
1:382557 C24H22N2O2
hit structure
1:382558 C23H21F9N4O4S
hit structure
1:382559 C21H16F9NO5S
hit structure
1:382560 C35H41F9N4O6S2
hit structure
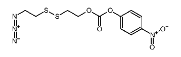
1:382561 C16H30N4O4S
hit structure
1:382562 C7H7N3O
hit structure
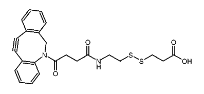
1:382563 C8H4N2O4S
hit structure
1:382564 C12H16N2O5S2
hit structure
1:382565 C5H9N3O2S2
hit structure
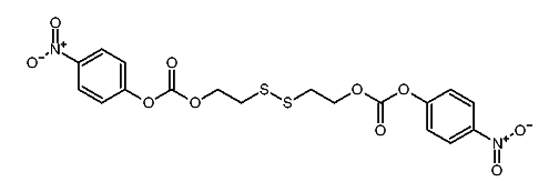
1:382566 C24H24N2O4S2
hit structure
1:382567 C14H24N6O2S3
hit structure
1:382568 C20H22BNO7
hit structure
1:382569 C36H35BN2O13
hit structure
1:382570 C11H12N4O5S2
hit structure
1:382571 C18H16N2O10S2
hit structure
1:382572 C19H14N2O4S3
hit structure
1:382573 C10H17NOS
hit structure
1:382574 C13H22N2O2S
hit structure
1:382575 C14H21NO4S
hit structure
1:382576 C18H34N4O5S
hit structure
1:382577 C10H8N4OS
hit structure

1
  <<    <    >    >>  

entries in data collection: 398298