Home Browse Text SearchFunctional Group SearchStructure SearchPreferences Administration

selected data collection: 1

IRIS SDF: browse content


1
  <<    <    >    >>  

1:382078 C34H38N4O6
hit structure
1:382079 C48H44N4O4S
hit structure
1:382080 C35H40N4O6
hit structure
1:382081 C50H47N5O5
hit structure
1:382082 C28H28N4O4
hit structure
1:382083 C51H46N6O4
hit structure
1:382084 C33H38N4O4
hit structure
1:382085 C32H36N4O4
hit structure
1:382086 C37H45N5O6
hit structure
1:382087 C31H34N4O4S
hit structure
1:382088 C35H34N4O4
hit structure
1:382089 C31H32N4O4
hit structure
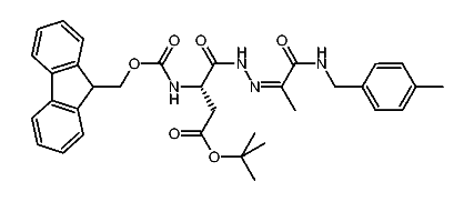
1:382090 C33H38N4O5
hit structure
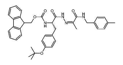
1:382091 C34H40N4O5
hit structure
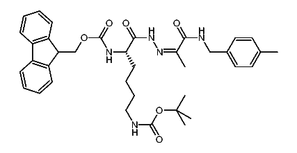
1:382092 C42H43N5O6
hit structure
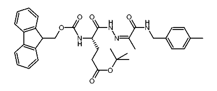
1:382093 C39H42N4O5
hit structure
1:382094 C31H34N4O4
hit structure
1:382095 C10H14O3
hit structure
1:382096 C11H15NO3
hit structure
1:382097 C35H36N2O7
hit structure
1:382098 C3H9NO
hit structure
1:382099 C23H22ClNO2
hit structure
1:382100 C23H22ClNO2
hit structure
1:382101 C23H22ClNO2
hit structure
1:382102 C39H45ClN4O5S
hit structure

1
  <<    <    >    >>  

entries in data collection: 408362