Home Browse Text SearchFunctional Group SearchStructure SearchPreferences Administration

selected data collection: 1

IRIS SDF: browse content


1
  <<    <    >    >>  

1:381678 C17H11NO3
hit structure
1:381679 C9H15O6P
hit structure
1:381680 C24H36N4O6S
hit structure
1:381681 C18H25N3O3S
hit structure
1:381682 C16H28N4O4S
hit structure
1:381683 C46H50N10O9
hit structure
1:381684 C55H65N7O12
hit structure
1:381685 C51H53N7O16
hit structure
1:381686 C48H63N13O10
hit structure
1:381687 C23H34N4O4S3
hit structure
1:381688 C14H20N4O4
hit structure
1:381689 C16H15N5
hit structure
1:381690 C27H38D6O2
hit structure
1:381691 C27H40D6O2
hit structure
1:381692 C27H38D6O
hit structure
1:381693 C27H38D6O2
hit structure
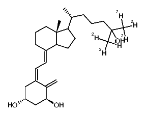
1:381694 C27H38D6O3
hit structure
1:381695 C27H41D3O
hit structure
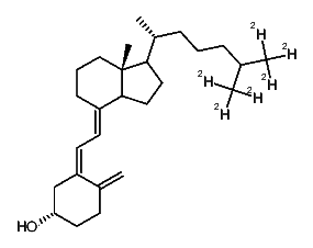
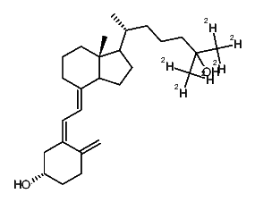
1:381696 C27H38D6O
hit structure
1:381697 C27H40D6O
hit structure
1:381698 C28H38D6O2
hit structure
1:381699 C28H38D6O2
hit structure
1:381700 C28H38D6O3
hit structure
1:381701 C28H41D3O
hit structure
1:381702 C28H38D6O
hit structure

1
  <<    <    >    >>  

entries in data collection: 413394