Home Browse Text SearchFunctional Group SearchStructure SearchPreferences Administration

selected data collection: 1

IRIS SDF: browse content


1
  <<    <    >    >>  

1:380853 C24H29NO5
hit structure
1:380854 C26H34N2O5
hit structure
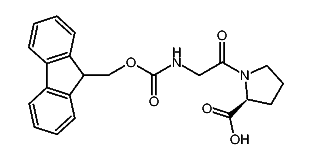
1:380855 C19H22N2O3
hit structure
1:380856 C20H20N2O5
hit structure
1:380857 C23H24N2O5
hit structure
1:380858 C40H35N3O6
hit structure
1:380859 C19H18N2O5
hit structure
1:380860 C22H22N2O5
hit structure
1:380861 C23H26N2O5
hit structure
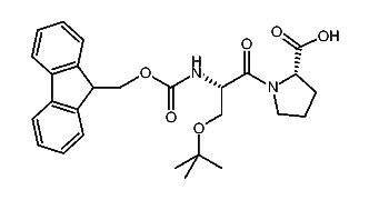
1:380862 C26H30N2O5
hit structure
1:380863 C23H26N2O5
hit structure
1:380864 C26H30N2O5
hit structure
1:380865 C31H39N3O7
hit structure
1:380866 C26H24N2O5
hit structure
1:380867 C29H28N2O5
hit structure
1:380868 C22H22N2O5
hit structure
1:380869 C25H26N2O5
hit structure
1:380870 C24H28N2O6
hit structure
1:380871 C27H32N2O6
hit structure
1:380872 C25H30N2O6
hit structure
1:380873 C31H29N3O5
hit structure
1:380874 C22H24N2O5
hit structure
1:380875 C25H28N2O5
hit structure
1:380876 C35H40N2O9
hit structure
1:380877 C35H28N2O7
hit structure

1
  <<    <    >    >>  

entries in data collection: 423458