Home Browse Text SearchFunctional Group SearchStructure SearchPreferences Administration

selected data collection: 1

IRIS SDF: browse content


1
  <<    <    >    >>  

1:378874 C20H32N4O6S
hit structure
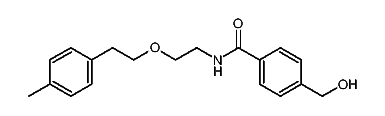
1:378875 C12H16N2O6
hit structure
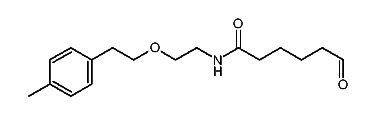
1:378876 C13H18N2O6
hit structure
1:378877 C13H24N2O8
hit structure
1:378878 C43H44N2O7
hit structure
1:378879 C16H22O4
hit structure
1:378880 C11H16OS
hit structure
1:378881 C31H31NO3
hit structure
1:378882 C18H22O3
hit structure
1:378883 C11H15BrO
hit structure
1:378884 C17H25NO3
hit structure
1:378885 C18H30O5
hit structure
1:378886 C19H22O4
hit structure
1:378887 C18H20O3
hit structure
1:378888 C19H23NO3
hit structure
1:378889 C43H44N2O7
hit structure
1:378890 C16H22O4
hit structure
1:378891 C11H16OS
hit structure
1:378892 C31H31NO3
hit structure
1:378893 C18H22O3
hit structure
1:378894 C11H16O2
hit structure
1:378895 C11H16O2
hit structure
1:378896 C54H53N3O9
hit structure
1:378897 C37H35NO7
hit structure
1:378898 C38H37NO7
hit structure

1
  <<    <    >    >>  

entries in data collection: 433522