Home Browse Text SearchFunctional Group SearchStructure SearchPreferences Administration

selected data collection: 1

IRIS SDF: browse content


1
  <<    <    >    >>  

1:378799 C14H19NO4
hit structure
1:378800 C22H34N2O8
hit structure
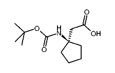
1:378801 C12H21NO4
hit structure
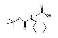
1:378802 C13H23NO4
hit structure
1:378803 C14H25NO4
hit structure
1:378804 C15H27NO4
hit structure
1:378805 C12H21NO5
hit structure
1:378806 C10H17NO4
hit structure
1:378807 C11H19NO4
hit structure
1:378808 C12H21NO4
hit structure
1:378809 C22H38N2O8
hit structure
1:378810 C26H42N2O8
hit structure
1:378811 C26H38N2O8
hit structure
1:378812 C28H50N2O8
hit structure
1:378813 C28H46N2O8
hit structure
1:378814 C24H42N2O8
hit structure
1:378815 C26H46N2O8
hit structure
1:378816 C26H46N2O8
hit structure
1:378817 C28H46N2O8
hit structure
1:378818 C11H21NO4
hit structure
1:378819 C12H23NO4
hit structure
1:378820 C13H25NO4
hit structure
1:378821 C14H27NO4
hit structure
1:378822 C12H23NO4
hit structure
1:378823 C11H21NO4
hit structure

1
  <<    <    >    >>  

entries in data collection: 428490