Home Browse Text SearchFunctional Group SearchStructure SearchPreferences Administration

selected data collection: 1

IRIS SDF: browse content


1
  <<    <    >    >>  

1:378501 C10H19NO4
hit structure
1:378502 C7H13NO4
hit structure
1:378503 C11H19NO4
hit structure
1:378504 C13H18N2O4
hit structure
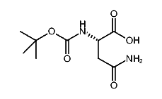
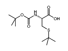
1:378505 C8H15NO4
hit structure
1:378506 C11H21N5O6
hit structure
1:378507 C24H38N4O7S
hit structure
1:378508 C18H28N4O6S
hit structure
1:378509 C11H22N4O4
hit structure
1:378510 C22H24N2O6
hit structure
1:378511 C9H16N2O5
hit structure
1:378512 C12H19NO6
hit structure
1:378513 C16H21NO6
hit structure
1:378514 C15H25NO6
hit structure
1:378515 C13H23NO6
hit structure
1:378516 C13H23NO6
hit structure
1:378517 C13H23NO6
hit structure
1:378518 C11H20N2O5S
hit structure
1:378519 C15H21NO4S
hit structure
1:378520 C16H23NO4S
hit structure
1:378521 C16H23NO5S
hit structure
1:378522 C12H23NO4S
hit structure
1:378523 C16H27NO6
hit structure
1:378524 C16H25N3O6
hit structure
1:378525 C11H17N3O4
hit structure

1
  <<    <    >    >>  

entries in data collection: 423458