Home Browse Text SearchFunctional Group SearchStructure SearchPreferences Administration

selected data collection: 1

IRIS SDF: browse content


1
  <<    <    >    >>  

1:376701 C21H20Cl2N4O3
hit structure
1:376702 C21H17FN4
hit structure
1:376703 C20H20N4O2
hit structure
1:376704 C95H142N26O23S2
hit structure
1:376705 C57H78N12O16
hit structure
1:376706 C17H21N3O4S
hit structure
1:376707 C13H22N6O2S
hit structure
1:376708 C16H22N4O4S
hit structure
1:376709 C17H24N4O2S3
hit structure
1:376710 C28H45N5O6S3
hit structure
1:376711 C12H21N3O2S2
hit structure
1:376712 C23H42N4O6S2
hit structure
1:376713 C28H30N4O3S
hit structure
1:376714 C20H25N7O2S
hit structure
1:376715 C31H46N8O7S
hit structure
1:376716 C10H17N5OS
hit structure
1:376717 C12H18N2OS
hit structure
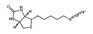
1:376718 C10H17N3O2S
hit structure
1:376719 C27H46O
hit structure
1:376720 C23H30N4O2S
hit structure
1:376721 C15H26N6O2S
hit structure
1:376722 C22H31N5O6S2
hit structure
1:376723 C30H43N3O9S
hit structure
1:376724 C10H16N2O6S
hit structure
1:376725 C25H38N8O6S
hit structure

1
  <<    <    >    >>  

entries in data collection: 398298