Home Browse Text SearchFunctional Group SearchStructure SearchPreferences Administration

selected data collection: 1

IRIS SDF: browse content


1
  <<    <    >    >>  

1:376251 C16H30N2O4
hit structure
1:376252 C14H22N2O4
hit structure
1:376253 C14H22N2O4
hit structure
1:376254 C18H30N2O4
hit structure
1:376255 C6H13NO2
hit structure
1:376256 C7H15NO2
hit structure
1:376257 C8H17NO2
hit structure
1:376258 C9H19NO2
hit structure
1:376259 C7H15NO2
hit structure
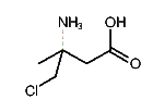
1:376260 C5H10ClNO2
hit structure
1:376261 C6H11NO2
hit structure
1:376262 C9H17NO2
hit structure
1:376263 C10H19NO2
hit structure
1:376264 C7H15NO2
hit structure
1:376265 C7H13NO2
hit structure
1:376266 C7H13NO3
hit structure
1:376267 C5H9NO2
hit structure
1:376268 C6H11NO2
hit structure
1:376269 C9H11NO2
hit structure
1:376270 C9H11NO2
hit structure
1:376271 C14H21N7O4
hit structure
1:376272 C26H28N4O2
hit structure
1:376273 C14H14N2O5
hit structure
1:376274 C10H16N4O4
hit structure
1:376275 C14H18N4O4
hit structure

1
  <<    <    >    >>  

entries in data collection: 388234