Home Browse Text SearchFunctional Group SearchStructure SearchPreferences Administration

selected data collection: 1

IRIS SDF: browse content


1
  <<    <    >    >>  

1:372439 C16H22N2O7S2
hit structure
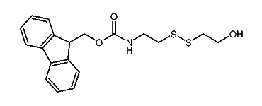
1:372440 C19H21NO3S2
hit structure
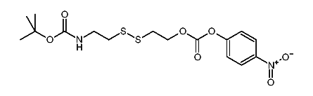
1:372441 C26H24N2O7S2
hit structure
1:372442 C19H14N2O5S2
hit structure
1:372443 C14H21NO3S2
hit structure
1:372444 C21H24N2O7S2
hit structure
1:372445 C24H23NO3S2
hit structure
1:372446 C9H11BrN2O5
hit structure
1:372447 C8H14N2O2S
hit structure
1:372448 C24H20N2O7S
hit structure
1:372449 C16H32ClN3O5
hit structure
1:372450 C9H9N3O2
hit structure
1:372451 C10H19NO5
hit structure
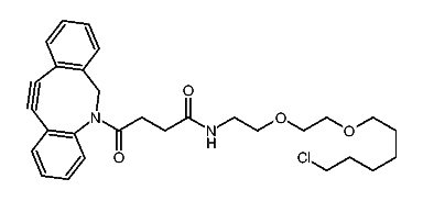
1:372452 C29H35ClN2O4
hit structure
1:372453 C10H22ClNO2
hit structure
1:372454 C14H30ClNO4
hit structure
1:372455 C10H20ClN3O2
hit structure
1:372456 C14H28ClN3O4
hit structure
1:372457 C16H26N2O2
hit structure
1:372458 C16H30N2O2
hit structure
1:372459 C18H34N2O2
hit structure
1:372460 C18H30N2O2
hit structure
1:372461 C29H31NO6
hit structure
1:372462 C30H29NO6
hit structure
1:372463 C28H29NO6
hit structure

1
  <<    <    >    >>  

entries in data collection: 398298