Home Browse Text SearchFunctional Group SearchStructure SearchPreferences Administration

selected data collection: 1

IRIS SDF: browse content


1
  <<    <    >    >>  

1:371189 C14H26N2O4
hit structure
1:371190 C16H30N2O4
hit structure
1:371191 C14H22N2O4
hit structure
1:371192 C14H22N2O4
hit structure
1:371193 C18H30N2O4
hit structure
1:371194 C7H13NO2
hit structure
1:371195 C6H13NO2
hit structure
1:371196 C7H15NO2
hit structure
1:371197 C8H17NO2
hit structure
1:371198 C9H19NO2
hit structure
1:371199 C7H15NO2
hit structure
1:371200 C6H13NO2
hit structure
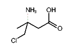
1:371201 C5H10ClNO2
hit structure
1:371202 C9H17NO2
hit structure
1:371203 C10H19NO2
hit structure
1:371204 C7H15NO2
hit structure
1:371205 C7H13NO2
hit structure
1:371206 C7H13NO3
hit structure
1:371207 C5H9NO2
hit structure
1:371208 C6H11NO2
hit structure
1:371209 C16H26N2O4
hit structure
1:371210 C16H22N2O4
hit structure
1:371211 C18H34N2O4
hit structure
1:371212 C18H30N2O4
hit structure
1:371213 C8H15NO2
hit structure

1
  <<    <    >    >>  

entries in data collection: 418426