Home Browse Text SearchFunctional Group SearchStructure SearchPreferences Administration

selected data collection: 1

IRIS SDF: browse content


1
  <<    <    >    >>  

1:369432 C31H36N2O6
hit structure
1:369433 C31H36N2O6
hit structure
1:369434 C34H42N2O6
hit structure
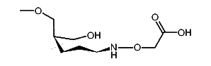
1:369435 C15H23NO4S
hit structure
1:369436 C34H42N2O6
hit structure
1:369437 C32H38N2O6
hit structure
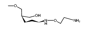
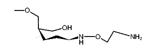
1:369438 C11H28N2O3
hit structure
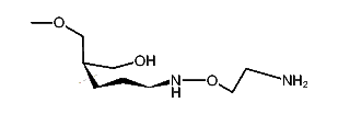
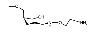
1:369439 C11H28N2O3
hit structure
1:369440 C11H28N2O3
hit structure
1:369441 C11H28N2O3
hit structure
1:369442 C11H28N2O3
hit structure
1:369443 C11H28N2O3
hit structure
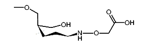
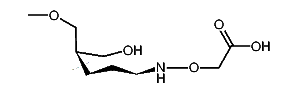
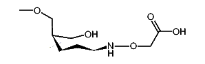
1:369444 C11H25NO5
hit structure
1:369445 C11H25NO5
hit structure
1:369446 C11H25NO5
hit structure
1:369447 C11H25NO5
hit structure
1:369448 C11H25NO5
hit structure
1:369449 C11H25NO5
hit structure
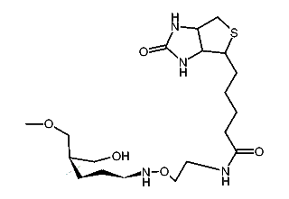
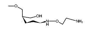
1:369450 C21H42N4O5S
hit structure
1:369451 C21H42N4O5S
hit structure
1:369452 C21H42N4O5S
hit structure
1:369453 C21H42N4O5S
hit structure
1:369454 C21H42N4O5S
hit structure
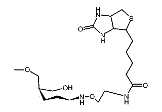
1:369455 C12H29NO3S
hit structure
1:369456 C25H23N3O2
hit structure

1
  <<    <    >    >>  

entries in data collection: 408362