Home Browse Text SearchFunctional Group SearchStructure SearchPreferences Administration

selected data collection: 1

IRIS SDF: browse content


1
  <<    <    >    >>  

1:368857 C11H14N4O3
hit structure
1:368858 C14H19N5O4
hit structure
1:368859 C12H16N2O6S
hit structure
1:368860 C21H35NO3
hit structure
1:368861 C21H21N5O5
hit structure
1:368862 C8H15N5O3
hit structure
1:368863 C6H12N2O4Se2
hit structure
1:368864 C12H14N2O6Se
hit structure
1:368865 C14H19N5O4
hit structure
1:368866 C14H19N5O4
hit structure
1:368867 C25H32N2O4
hit structure
1:368868 C12H20N2O5
hit structure
1:368869 C11H18N2O3
hit structure
1:368870 C9H15N3O2
hit structure
1:368871 C26H26N2O4
hit structure
1:368872 C12H26N2O4Si
hit structure
1:368873 C10H12N2O4Se
hit structure
1:368874 C12H13N5O2
hit structure
1:368875 C11H14N2O4Se
hit structure
1:368876 C14H16N8O2
hit structure
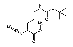
1:368877 C10H17N4NaO4
hit structure
1:368878 C12H13N5O2
hit structure
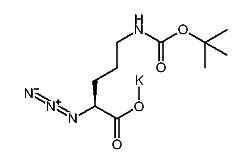
1:368879 C10H17KN4O4
hit structure
1:368880 C15H19N5O2
hit structure
1:368881 C14H17N5O2
hit structure

1
  <<    <    >    >>  

entries in data collection: 403330