Home Browse Text SearchFunctional Group SearchStructure SearchPreferences Administration

selected data collection: 1

IRIS SDF: browse content


1
  <<    <    >    >>  

1:368557 C15H21NO4
hit structure
1:368558 C16H23NO5
hit structure
1:368559 C16H23NO5
hit structure
1:368560 C10H19NO5
hit structure
1:368561 C14H25NO6
hit structure
1:368562 C10H17NO6
hit structure
1:368563 C9H17NO4
hit structure
1:368564 C14H19NO5
hit structure
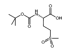
1:368565 C10H19NO6S
hit structure
1:368566 C18H23N3O6S
hit structure
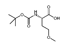
1:368567 C10H15NO5
hit structure
1:368568 C9H17NO4
hit structure
1:368569 C14H25NO4
hit structure
1:368570 C16H23NO5
hit structure
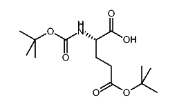
1:368571 C13H25NO5
hit structure
1:368572 C15H29NO4
hit structure
1:368573 C16H31NO4
hit structure
1:368574 C17H33NO4
hit structure
1:368575 C12H15NO4
hit structure
1:368576 C12H15NO4
hit structure
1:368577 C12H15NO4
hit structure
1:368578 C13H17NO4
hit structure
1:368579 C13H23NO4
hit structure
1:368580 C11H21NO4
hit structure
1:368581 C13H25NO4
hit structure

1
  <<    <    >    >>  

entries in data collection: 398298