Home Browse Text SearchFunctional Group SearchStructure SearchPreferences Administration

selected data collection: 1

IRIS SDF: browse content


1
  <<    <    >    >>  

1:368032 C20H21NO6
hit structure
1:368033 C22H24N2O8S2
hit structure
1:368034 C14H19N5O6
hit structure
1:368035 C12H14N2O5
hit structure
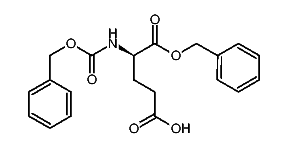
1:368036 C17H23NO4
hit structure
1:368037 C24H32N4O7S
hit structure
1:368038 C14H19N5O6
hit structure
1:368039 C19H19NO6
hit structure
1:368040 C20H24N2O8
hit structure
1:368041 C12H15NO4
hit structure
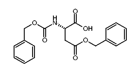
1:368042 C13H16N2O5
hit structure
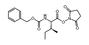
1:368043 C13H15NO6
hit structure
1:368044 C20H22N2O6
hit structure
1:368045 C18H22N2O6
hit structure
1:368046 C21H20N2O6
hit structure
1:368047 C16H15NO4
hit structure
1:368048 C13H13NO5
hit structure
1:368049 C11H13NO5
hit structure
1:368050 C17H17NO5
hit structure
1:368051 C14H17NO6
hit structure
1:368052 C21H26N2O8
hit structure
1:368053 C17H23NO6
hit structure
1:368054 C18H22N2O6
hit structure
1:368055 C20H22N2O6
hit structure
1:368056 C18H22N2O6
hit structure

1
  <<    <    >    >>  

entries in data collection: 378170