Home Browse Text SearchFunctional Group SearchStructure SearchPreferences Administration

selected data collection: 1

IRIS SDF: browse content


1
  <<    <    >    >>  

1:367857 C65H54N2O6
hit structure
1:367858 C66H56N2O6
hit structure
1:367859 C59H53N3O7
hit structure
1:367860 C57(13C)5H63N(15N)4O8S
hit structure
1:367861 C43(13C)6H46N(15N)O5
hit structure
1:367862 C48(13C)6H55N(15N)2O7
hit structure
1:367863 C43(13C)5H44N(15N)O5
hit structure
1:367864 C9H25NO
hit structure
1:367865 C25H30N2
hit structure
1:367866 C21H21NS
hit structure
1:367867 C61H66N4O10
hit structure
1:367868 C46H60N4O13
hit structure
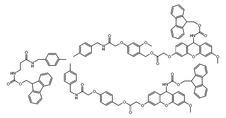
1:367869 C125H120N6O22
hit structure
1:367870 C110H114N6O25
hit structure
1:367871 C96H97N7O14
hit structure
1:367872 C34H33NO5
hit structure
1:367873 C33H31NO5
hit structure
1:367874 C36H37NO5
hit structure
1:367875 C33H31NO5
hit structure
1:367876 C34H33NO5
hit structure
1:367877 C41H46N2O7
hit structure
1:367878 C40H42N2O7
hit structure
1:367879 C46H52N4O7S
hit structure
1:367880 C51H48N2O7
hit structure
1:367881 C35H31NO5
hit structure

1
  <<    <    >    >>  

entries in data collection: 388234