Home Browse Text SearchFunctional Group SearchStructure SearchPreferences Administration

selected data collection: 1

IRIS SDF: browse content


1
  <<    <    >    >>  

1:367757 C30H35NO5
hit structure
1:367758 C35H44N2O7
hit structure
1:367759 C29H33NO5S
hit structure
1:367760 C30H35NO5
hit structure
1:367761 C34H42N2O7
hit structure
1:367762 C33H33NO5
hit structure
1:367763 C29H31NO5
hit structure
1:367764 C31H37NO6
hit structure
1:367765 C32H39NO6
hit structure
1:367766 C37H41NO6
hit structure
1:367767 C29H33NO5
hit structure
1:367768 C40H42N2O7
hit structure
1:367769 C89H91N7O14
hit structure
1:367770 C96H98N8O15
hit structure
1:367771 C25H50N4O6
hit structure
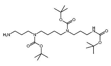
1:367772 C20H42N4O4
hit structure
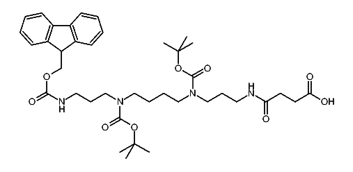
1:367773 C39H56N4O9
hit structure
1:367774 C10H24N6
hit structure
1:367775 C31H58N4O10
hit structure
1:367776 C20H42N4O4
hit structure
1:367777 C10H22N8
hit structure
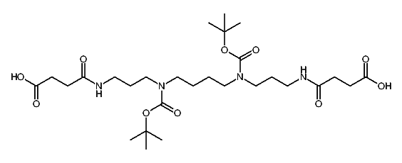
1:367778 C29H54N4O9
hit structure
1:367779 C25H48N6O6
hit structure
1:367780 C28H50N4O10
hit structure
1:367781 CH2Cl2
hit structure

1
  <<    <    >    >>  

entries in data collection: 393266