Home Browse Text SearchFunctional Group SearchStructure SearchPreferences Administration

selected data collection: 1

IRIS SDF: browse content


1
  <<    <    >    >>  

1:366582 C17H11NO3
hit structure
1:366583 C9H15O6P
hit structure
1:366584 C24H36N4O6S
hit structure
1:366585 C18H25N3O3S
hit structure
1:366586 C16H28N4O4S
hit structure
1:366587 C46H50N10O9
hit structure
1:366588 C55H65N7O12
hit structure
1:366589 C51H53N7O16
hit structure
1:366590 C48H63N13O10
hit structure
1:366591 C23H34N4O4S3
hit structure
1:366592 C14H20N4O4
hit structure
1:366593 C16H15N5
hit structure
1:366594 C27H38D6O2
hit structure
1:366595 C27H40D6O2
hit structure
1:366596 C27H38D6O
hit structure
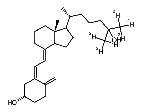
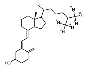
1:366597 C27H38D6O2
hit structure
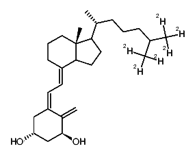
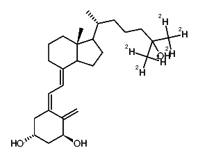
1:366598 C27H38D6O3
hit structure
1:366599 C27H41D3O
hit structure
1:366600 C27H38D6O
hit structure
1:366601 C27H40D6O
hit structure
1:366602 C28H38D6O2
hit structure
1:366603 C28H38D6O2
hit structure
1:366604 C28H38D6O3
hit structure
1:366605 C28H41D3O
hit structure
1:366606 C28H38D6O
hit structure

1
  <<    <    >    >>  

entries in data collection: 414349