Home Browse Text SearchFunctional Group SearchStructure SearchPreferences Administration

selected data collection: 1

IRIS SDF: browse content


1
  <<    <    >    >>  

1:366182 C7H13NO2
hit structure
1:366183 C12H18N2O4
hit structure
1:366184 C14H26N2O4
hit structure
1:366185 C16H30N2O4
hit structure
1:366186 C7H13NO2
hit structure
1:366187 C16H30N2O4
hit structure
1:366188 C14H22N2O4
hit structure
1:366189 C14H22N2O4
hit structure
1:366190 C18H30N2O4
hit structure
1:366191 C6H13NO2
hit structure
1:366192 C7H15NO2
hit structure
1:366193 C8H17NO2
hit structure
1:366194 C9H19NO2
hit structure
1:366195 C7H15NO2
hit structure
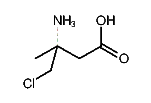
1:366196 C5H10ClNO2
hit structure
1:366197 C6H11NO2
hit structure
1:366198 C9H17NO2
hit structure
1:366199 C10H19NO2
hit structure
1:366200 C7H15NO2
hit structure
1:366201 C7H13NO2
hit structure
1:366202 C7H13NO3
hit structure
1:366203 C5H9NO2
hit structure
1:366204 C6H11NO2
hit structure
1:366205 C9H11NO2
hit structure
1:366206 C9H11NO2
hit structure

1
  <<    <    >    >>  

entries in data collection: 423458