Home Browse Text SearchFunctional Group SearchStructure SearchPreferences Administration

selected data collection: 1

IRIS SDF: browse content


1
  <<    <    >    >>  

1:364150 C23H26N2O8
hit structure
1:364151 C21H26N2O8
hit structure
1:364152 C17H24N2O6
hit structure
1:364153 C15H24N2O6
hit structure
1:364154 C13H26N2O4
hit structure
1:364155 C17H24N2O6
hit structure
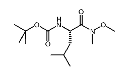
1:364156 C15H24N2O6
hit structure
1:364157 C22H33N3O8
hit structure
1:364158 C13H21F3N2O5
hit structure
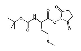
1:364159 C18H28N2O6S
hit structure
1:364160 C12H23NO4
hit structure
1:364161 C16H22N2O6S
hit structure
1:364162 C14H22N2O6S
hit structure
1:364163 C18H27NO4S
hit structure
1:364164 C15H21NO4
hit structure
1:364165 C20H22N2O6
hit structure
1:364166 C18H22N2O6
hit structure
1:364167 C11H19NO4
hit structure
1:364168 C14H20N2O6
hit structure
1:364169 C19H24N2O7
hit structure
1:364170 C20H26N2O7
hit structure
1:364171 C17H22N2O4
hit structure
1:364172 C22H23N3O6
hit structure
1:364173 C20H23N3O6
hit structure
1:364174 C16H22N2O6
hit structure

1
  <<    <    >    >>  

entries in data collection: 408362