Home Browse Text SearchFunctional Group SearchStructure SearchPreferences Administration

selected data collection: 1

IRIS SDF: browse content


1
  <<    <    >    >>  

1:362425 C31H40N8O9
hit structure
1:362426 C21H21N7O2S2
hit structure
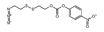
1:362427 C26H30N8O4S2
hit structure
1:362428 C34H31N7O3
hit structure
1:362429 C24H22N2O2
hit structure
1:362430 C23H21F9N4O4S
hit structure
1:362431 C21H16F9NO5S
hit structure
1:362432 C35H41F9N4O6S2
hit structure
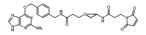
1:362433 C16H30N4O4S
hit structure
1:362434 C7H7N3O
hit structure
1:362435 C8H4N2O4S
hit structure
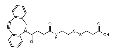
1:362436 C12H16N2O5S2
hit structure
1:362437 C5H9N3O2S2
hit structure
1:362438 C24H24N2O4S2
hit structure
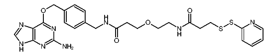
1:362439 C14H24N6O2S3
hit structure
1:362440 C20H22BNO7
hit structure
1:362441 C36H35BN2O13
hit structure
1:362442 C11H12N4O5S2
hit structure
1:362443 C18H16N2O10S2
hit structure
1:362444 C19H14N2O4S3
hit structure
1:362445 C10H17NOS
hit structure
1:362446 C13H22N2O2S
hit structure
1:362447 C14H21NO4S
hit structure
1:362448 C18H34N4O5S
hit structure
1:362449 C10H8N4OS
hit structure

1
  <<    <    >    >>  

entries in data collection: 403330