Home Browse Text SearchFunctional Group SearchStructure SearchPreferences Administration

selected data collection: 1

IRIS SDF: browse content


1
  <<    <    >    >>  

1:361950 C34H38N4O6
hit structure
1:361951 C48H44N4O4S
hit structure
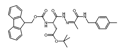
1:361952 C35H40N4O6
hit structure
1:361953 C50H47N5O5
hit structure
1:361954 C28H28N4O4
hit structure
1:361955 C51H46N6O4
hit structure
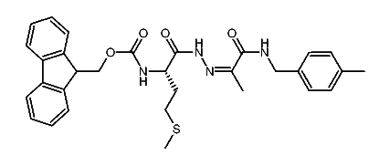
1:361956 C33H38N4O4
hit structure
1:361957 C32H36N4O4
hit structure
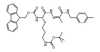
1:361958 C37H45N5O6
hit structure
1:361959 C31H34N4O4S
hit structure
1:361960 C35H34N4O4
hit structure
1:361961 C31H32N4O4
hit structure
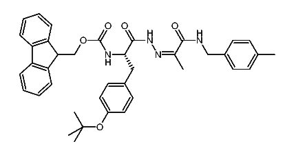
1:361962 C33H38N4O5
hit structure
1:361963 C34H40N4O5
hit structure
1:361964 C42H43N5O6
hit structure
1:361965 C39H42N4O5
hit structure
1:361966 C31H34N4O4
hit structure
1:361967 C10H14O3
hit structure
1:361968 C11H15NO3
hit structure
1:361969 C35H36N2O7
hit structure
1:361970 C3H9NO
hit structure
1:361971 C23H22ClNO2
hit structure
1:361972 C23H22ClNO2
hit structure
1:361973 C23H22ClNO2
hit structure
1:361974 C39H45ClN4O5S
hit structure

1
  <<    <    >    >>  

entries in data collection: 408362