Home Browse Text SearchFunctional Group SearchStructure SearchPreferences Administration

selected data collection: 1

IRIS SDF: browse content


1
  <<    <    >    >>  

1:361125 C14H26N2O4
hit structure
1:361126 C16H30N2O4
hit structure
1:361127 C14H22N2O4
hit structure
1:361128 C14H22N2O4
hit structure
1:361129 C18H30N2O4
hit structure
1:361130 C7H13NO2
hit structure
1:361131 C6H13NO2
hit structure
1:361132 C7H15NO2
hit structure
1:361133 C8H17NO2
hit structure
1:361134 C9H19NO2
hit structure
1:361135 C7H15NO2
hit structure
1:361136 C6H13NO2
hit structure
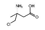
1:361137 C5H10ClNO2
hit structure
1:361138 C9H17NO2
hit structure
1:361139 C10H19NO2
hit structure
1:361140 C7H15NO2
hit structure
1:361141 C7H13NO2
hit structure
1:361142 C7H13NO3
hit structure
1:361143 C5H9NO2
hit structure
1:361144 C6H11NO2
hit structure
1:361145 C16H26N2O4
hit structure
1:361146 C16H22N2O4
hit structure
1:361147 C18H34N2O4
hit structure
1:361148 C18H30N2O4
hit structure
1:361149 C8H15NO2
hit structure

1
  <<    <    >    >>  

entries in data collection: 423458