Home Browse Text SearchFunctional Group SearchStructure SearchPreferences Administration

selected data collection: 1

IRIS SDF: browse content


1
  <<    <    >    >>  

1:358493 C15H21NO4
hit structure
1:358494 C16H23NO5
hit structure
1:358495 C16H23NO5
hit structure
1:358496 C10H19NO5
hit structure
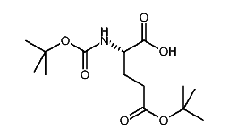
1:358497 C14H25NO6
hit structure
1:358498 C10H17NO6
hit structure
1:358499 C9H17NO4
hit structure
1:358500 C14H19NO5
hit structure
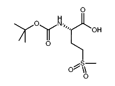
1:358501 C10H19NO6S
hit structure
1:358502 C18H23N3O6S
hit structure
1:358503 C10H15NO5
hit structure
1:358504 C9H17NO4
hit structure
1:358505 C14H25NO4
hit structure
1:358506 C16H23NO5
hit structure
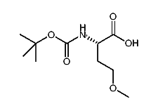
1:358507 C13H25NO5
hit structure
1:358508 C15H29NO4
hit structure
1:358509 C16H31NO4
hit structure
1:358510 C17H33NO4
hit structure
1:358511 C12H15NO4
hit structure
1:358512 C12H15NO4
hit structure
1:358513 C12H15NO4
hit structure
1:358514 C13H17NO4
hit structure
1:358515 C13H23NO4
hit structure
1:358516 C11H21NO4
hit structure
1:358517 C13H25NO4
hit structure

1
  <<    <    >    >>  

entries in data collection: 398298