Home Browse Text SearchFunctional Group SearchStructure SearchPreferences Administration

selected data collection: 1

IRIS SDF: browse content


1
  <<    <    >    >>  

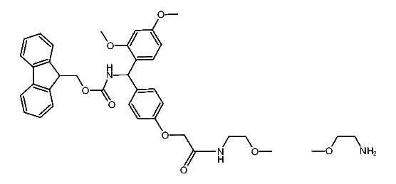
1:358293 C38H45N3O8
hit structure
1:358294 C14H21NO2S
hit structure
1:358295 C18H21NO2
hit structure
1:358296 C12H17NO2
hit structure
1:358297 C14H21NO2S
hit structure
1:358298 C11H15NO2
hit structure
1:358299 C14H20BNO6
hit structure
1:358300 C13H19NO2S
hit structure
1:358301 C17H19NO2
hit structure
1:358302 C13H19NO2
hit structure
1:358303 C10H13NO2
hit structure
1:358304 C11H15NO2
hit structure
1:358305 C14H21NO2
hit structure
1:358306 C13H19NO2S
hit structure
1:358307 C17H19NO2
hit structure
1:358308 C15H23NO3
hit structure
1:358309 C10H11NO3
hit structure
1:358310 C10H11NO3
hit structure
1:358311 C11H13NO3
hit structure
1:358312 C13H19N5O2
hit structure
1:358313 C15H22N4O3
hit structure
1:358314 C13H18N4O3
hit structure
1:358315 C14H20N4O3
hit structure
1:358316 C16H15NO3
hit structure
1:358317 C13H13N3O3
hit structure

1
  <<    <    >    >>  

entries in data collection: 393266