Home Browse Text SearchFunctional Group SearchStructure SearchPreferences Administration

selected data collection: 1

IRIS SDF: browse content


1
  <<    <    >    >>  

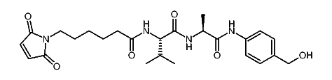
1:358168 C43H57N7O9
hit structure
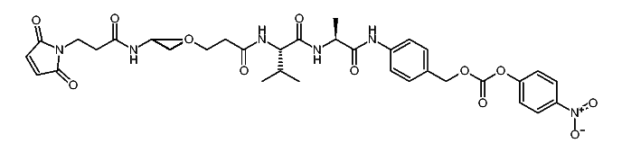
1:358169 C25H34N4O6
hit structure
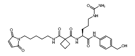
1:358170 C32H37N5O10
hit structure
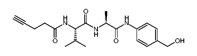
1:358171 C21H32N6O4
hit structure
1:358172 C28H35N7O8
hit structure
1:358173 C20H27N3O4
hit structure
1:358174 C27H30N4O8
hit structure
1:358175 C26H42N6O8
hit structure
1:358176 C33H45N7O12
hit structure
1:358177 C29H45N3O9
hit structure
1:358178 C36H48N4O13
hit structure
1:358179 C33H49N5O11
hit structure
1:358180 C40H52N6O15
hit structure
1:358181 C40H51N5O8
hit structure
1:358182 C28H38N6O7
hit structure
1:358183 C35H41N7O11
hit structure
1:358184 C22H32N8O5
hit structure
1:358185 C29H35N9O9
hit structure
1:358186 C22H29N5O5
hit structure
1:358187 C29H32N6O9
hit structure
1:358188 C37H40N6O6
hit structure
1:358189 C44H43N7O10
hit structure
1:358190 C25H32N4O6
hit structure
1:358191 C32H35N5O10
hit structure
1:358192 C19H26N6O4
hit structure

1
  <<    <    >    >>  

entries in data collection: 388234