Home Browse Text SearchFunctional Group SearchStructure SearchPreferences Administration

selected data collection: 1

IRIS SDF: browse content


1
  <<    <    >    >>  

1:357893 C17H17NO4
hit structure
1:357894 C14H17NO4
hit structure
1:357895 C14H20N2O4
hit structure
1:357896 C14H20N4O4
hit structure
1:357897 C12H13NO6
hit structure
1:357898 C14H20N2O4
hit structure
1:357899 C12H13NO6
hit structure
1:357900 C14H15N3O4
hit structure
1:357901 C20H24N6O5
hit structure
1:357902 C15H17NO6
hit structure
1:357903 C12H16N2O4
hit structure
1:357904 C17H24N2O6
hit structure
1:357905 C27H26N2O6
hit structure
1:357906 C11H14N2O4
hit structure
1:357907 C16H22N2O6
hit structure
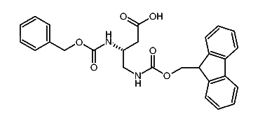
1:357908 C26H24N2O6
hit structure
1:357909 C15H17NO6
hit structure
1:357910 C17H24N2O6
hit structure
1:357911 C27H26N2O6
hit structure
1:357912 C13H18N2O4
hit structure
1:357913 C12H16N2O4
hit structure
1:357914 C17H24N2O6
hit structure
1:357915 C27H26N2O6
hit structure
1:357916 C11H14N2O4
hit structure
1:357917 C16H22N2O6
hit structure

1
  <<    <    >    >>  

entries in data collection: 388234