Home Browse Text SearchFunctional Group SearchStructure SearchPreferences Administration

selected data collection: 1

IRIS SDF: browse content


1
  <<    <    >    >>  

1:357693 C30H35NO5
hit structure
1:357694 C35H44N2O7
hit structure
1:357695 C29H33NO5S
hit structure
1:357696 C30H35NO5
hit structure
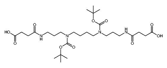
1:357697 C34H42N2O7
hit structure
1:357698 C33H33NO5
hit structure
1:357699 C29H31NO5
hit structure
1:357700 C31H37NO6
hit structure
1:357701 C32H39NO6
hit structure
1:357702 C37H41NO6
hit structure
1:357703 C29H33NO5
hit structure
1:357704 C40H42N2O7
hit structure
1:357705 C89H91N7O14
hit structure
1:357706 C96H98N8O15
hit structure
1:357707 C25H50N4O6
hit structure
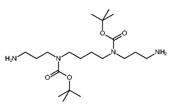
1:357708 C20H42N4O4
hit structure
1:357709 C39H56N4O9
hit structure
1:357710 C10H24N6
hit structure
1:357711 C31H58N4O10
hit structure
1:357712 C20H42N4O4
hit structure
1:357713 C10H22N8
hit structure
1:357714 C29H54N4O9
hit structure
1:357715 C25H48N6O6
hit structure
1:357716 C28H50N4O10
hit structure
1:357717 CH2Cl2
hit structure

1
  <<    <    >    >>  

entries in data collection: 393266