Home Browse Text SearchFunctional Group SearchStructure SearchPreferences Administration

selected data collection: 1

IRIS SDF: browse content


1
  <<    <    >    >>  

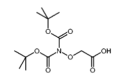
1:353586 C11H20N4O4
hit structure
1:353587 C8H14N4O4
hit structure
1:353588 C8H14N4O4
hit structure
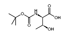
1:353589 C10H18N4O4
hit structure
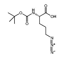
1:353590 C10H18N4O4
hit structure
1:353591 C12H21NO7
hit structure
1:353592 C13H18N2O4
hit structure
1:353593 C14H18N4O4
hit structure
1:353594 C14H18N4O4
hit structure
1:353595 C13H17N3O6S2
hit structure
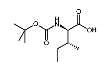
1:353596 C12H19N3O4
hit structure
1:353597 C12H19N3O4
hit structure
1:353598 C11H21NO4
hit structure
1:353599 C9H17NO5
hit structure
1:353600 C12H24N2O4
hit structure
1:353601 C15H21NO4
hit structure
1:353602 C10H16N4O4
hit structure
1:353603 C10H19NO5
hit structure
1:353604 C11H19NO4
hit structure
1:353605 C11H19NO4
hit structure
1:353606 C10H16N4O4
hit structure
1:353607 C10H17NO4
hit structure
1:353608 C11H16N2O7
hit structure
1:353609 C11H19NO4
hit structure
1:353610 C11H19NO4
hit structure

1
  <<    <    >    >>  

entries in data collection: 398298