Home Browse Text SearchFunctional Group SearchStructure SearchPreferences Administration

selected data collection: 1

IRIS SDF: browse content


1
  <<    <    >    >>  

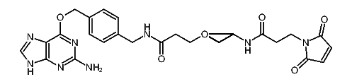
1:352361 C31H40N8O9
hit structure
1:352362 C21H21N7O2S2
hit structure
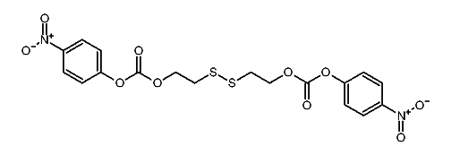
1:352363 C26H30N8O4S2
hit structure
1:352364 C34H31N7O3
hit structure
1:352365 C24H22N2O2
hit structure
1:352366 C23H21F9N4O4S
hit structure
1:352367 C21H16F9NO5S
hit structure
1:352368 C35H41F9N4O6S2
hit structure
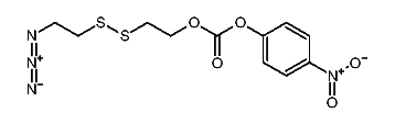
1:352369 C16H30N4O4S
hit structure
1:352370 C7H7N3O
hit structure
1:352371 C8H4N2O4S
hit structure
1:352372 C12H16N2O5S2
hit structure
1:352373 C5H9N3O2S2
hit structure
1:352374 C24H24N2O4S2
hit structure
1:352375 C14H24N6O2S3
hit structure
1:352376 C20H22BNO7
hit structure
1:352377 C36H35BN2O13
hit structure
1:352378 C11H12N4O5S2
hit structure
1:352379 C18H16N2O10S2
hit structure
1:352380 C19H14N2O4S3
hit structure
1:352381 C10H17NOS
hit structure
1:352382 C13H22N2O2S
hit structure
1:352383 C14H21NO4S
hit structure
1:352384 C18H34N4O5S
hit structure
1:352385 C10H8N4OS
hit structure

1
  <<    <    >    >>  

entries in data collection: 403330