Home Browse Text SearchFunctional Group SearchStructure SearchPreferences Administration

selected data collection: 1

IRIS SDF: browse content


1
  <<    <    >    >>  

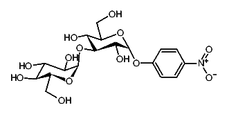
1:350786 C18H25NO13
hit structure
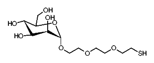
1:350787 C12H24O8S
hit structure
1:350788 C38H39NO14
hit structure
1:350789 C38H39NO14
hit structure
1:350790 C30H33NO12
hit structure
1:350791 C44H51NO22
hit structure
1:350792 C117H166N8O66
hit structure
1:350793 C81H120N6O50
hit structure
1:350794 C69H100N6O40
hit structure
1:350795 C53H74N4O30
hit structure
1:350796 C123H176N8O70
hit structure
1:350797 C87H130N6O54
hit structure
1:350798 C75H110N6O44
hit structure
1:350799 C59H84N4O34
hit structure
1:350800 C99H143N7O58
hit structure
1:350801 C99H143N7O58
hit structure
1:350802 C75H110N6O45
hit structure
1:350803 C75H110N6O45
hit structure
1:350804 C81H120N6O49
hit structure
1:350805 C81H120N6O49
hit structure
1:350806 C89H134N4O60
hit structure
1:350807 C65H94N4O40
hit structure
1:350808 C95H143N7O60
hit structure
1:350809 C95H143N7O60
hit structure
1:350810 C109H166N8O70
hit structure

1
  <<    <    >    >>  

entries in data collection: 423458