Home Browse Text SearchFunctional Group SearchStructure SearchPreferences Administration

selected data collection: 1

IRIS SDF: browse content


1
  <<    <    >    >>  

1:350611 C40H37NO4S
hit structure
1:350612 C41H39NO4S
hit structure
1:350613 C24H28N2O6
hit structure
1:350614 C25H30N2O6
hit structure
1:350615 C21H23NO4S
hit structure
1:350616 C26H31NO6
hit structure
1:350617 C27H37NO5Si
hit structure
1:350618 C37H45N7O7S
hit structure
1:350619 C24H28N2O5
hit structure
1:350620 C22H24N4O4
hit structure
1:350621 C35H44N2O6
hit structure
1:350622 C25H28N2O5
hit structure
1:350623 C28H28N2O8S
hit structure
1:350624 C29H27N5O3S
hit structure
1:350625 C26H19N3O4S2
hit structure
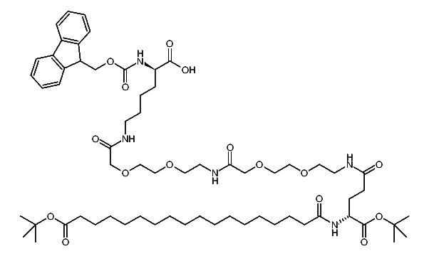
1:350626 C64H101N5O16
hit structure
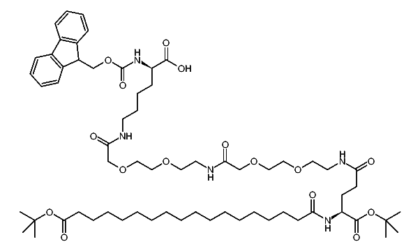
1:350627 C64H101N5O16
hit structure
1:350628 C64H101N5O16
hit structure
1:350629 C22H21NO4S
hit structure
1:350630 C25H28N2O6
hit structure
1:350631 C24H24N2O6
hit structure
1:350632 C28H36N2O6
hit structure
1:350633 C39H34N2O5
hit structure
1:350634 C22H23NO4
hit structure
1:350635 C28H34N2O7
hit structure

1
  <<    <    >    >>  

entries in data collection: 428490