Home Browse Text SearchFunctional Group SearchStructure SearchPreferences Administration

selected data collection: 1

IRIS SDF: browse content


1
  <<    <    >    >>  

1:349452 C22H25NO4
hit structure
1:349453 C21H23NO4
hit structure
1:349454 C25H28N2O6
hit structure
1:349455 C26H32N2O6
hit structure
1:349456 C36H34N2O6
hit structure
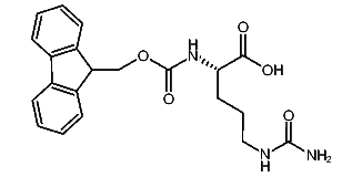
1:349457 C19H19NO4
hit structure
1:349458 C21H21NO4
hit structure
1:349459 C19H19NO4
hit structure
1:349460 C28H23NO4
hit structure
1:349461 C26H25NO5
hit structure
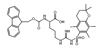
1:349462 C35H42N4O7S
hit structure
1:349463 C22H21NO6
hit structure
1:349464 C22H21NO6
hit structure
1:349465 C23H25NO6
hit structure
1:349466 C24H27NO4
hit structure
1:349467 C21H23N3O5
hit structure
1:349468 C23H25NO4
hit structure
1:349469 C22H23NO4
hit structure
1:349470 C18H17NO4S
hit structure
1:349471 C23H24N2O6
hit structure
1:349472 C24H28N2O6
hit structure
1:349473 C29H32N2O6
hit structure
1:349474 C22H22N2O6
hit structure
1:349475 C23H26N2O6
hit structure
1:349476 C29H35NO8
hit structure

1
  <<    <    >    >>  

entries in data collection: 433522