Home Browse Text SearchFunctional Group SearchStructure SearchPreferences Administration

selected data collection: 1

IRIS SDF: browse content


1
  <<    <    >    >>  

1:347729 C65H54N2O6
hit structure
1:347730 C66H56N2O6
hit structure
1:347731 C59H53N3O7
hit structure
1:347732 C57(13C)5H63N(15N)4O8S
hit structure
1:347733 C43(13C)6H46N(15N)O5
hit structure
1:347734 C48(13C)6H55N(15N)2O7
hit structure
1:347735 C43(13C)5H44N(15N)O5
hit structure
1:347736 C9H25NO
hit structure
1:347737 C25H30N2
hit structure
1:347738 C21H21NS
hit structure
1:347739 C61H66N4O10
hit structure
1:347740 C46H60N4O13
hit structure
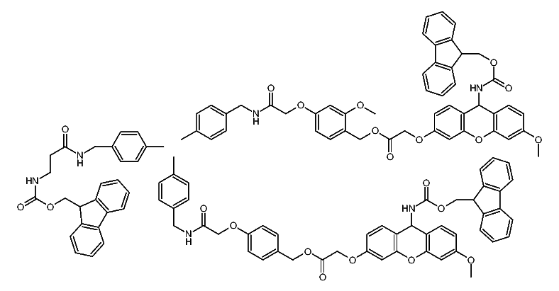
1:347741 C125H120N6O22
hit structure
1:347742 C110H114N6O25
hit structure
1:347743 C96H97N7O14
hit structure
1:347744 C34H33NO5
hit structure
1:347745 C33H31NO5
hit structure
1:347746 C36H37NO5
hit structure
1:347747 C33H31NO5
hit structure
1:347748 C34H33NO5
hit structure
1:347749 C41H46N2O7
hit structure
1:347750 C40H42N2O7
hit structure
1:347751 C46H52N4O7S
hit structure
1:347752 C51H48N2O7
hit structure
1:347753 C35H31NO5
hit structure

1
  <<    <    >    >>  

entries in data collection: 393266